• 文字サイズ変更
  • S
  • M
  • L
  • No : 2292
  • 公開日時 : 2026/02/16 01:04
  • 更新日時 : 2026/03/25 02:32
  • 印刷

信用創造

信用創造
カテゴリー : 

回答


信用創造(Credit Creation)とは、市中銀行の受け入れた預金が、貸し出しを通じ、さらなる預金を生み出し、これによって預金通貨が創造される仕組みである。


今、支払準備率を0<r<1とする。ここで、当初預金1単位を受け入れた市中銀行はr単位を預金準備として中央銀行に預け、残りの1-rを貸し出す。この貸し出された資金は、何らかの経済取引に用いられ経済内を循環し、新たな預金としてどこかの市中銀行に戻ってくる。

次に、預金1-r単位を受け入れた市中銀行はr(1-r)単位を預金準備として中央銀行に預け、残りの(1-r)2単位を貸し出し、この資金は新たな預金として別の市中銀行に戻ってくる。

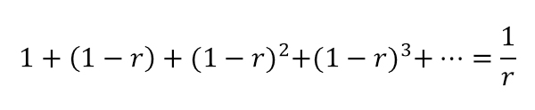
このプロセスが繰り返されることにより、最終的には預金通貨は、当初預金を含め最大限

信用創造の式

単位増大する。

 

あわせて閲覧されているワード