キーワードから探す
カテゴリーから探す
貨幣乗数(Money Multiplier)とは、マネタリー・ベースの変化に対し、マネーストックがその何倍変化するかを表す値である。通貨乗数、信用乗数とも呼ばれる。
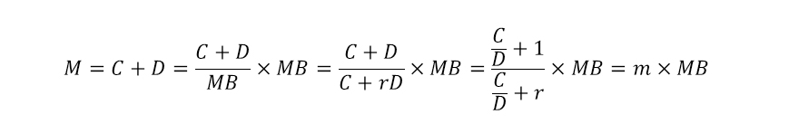
今、中央銀行当座預金はすべて預金準備から構成されていると想定する。このとき、預金準備(=中央銀行当座預金)をR、預金通貨をD、支払準備率をrと表すと、R=rDが成立する。また、マネタリー・ベースをMB、現金通貨をCと表すと、マネタリー・ベースは現金通貨と預金準備(=中央銀行当座預金)の和であるため、
MB=C+R=C+rD
となる。一方、マネーストックをMと表すと、マネーストックは現金通貨と預金通貨の和なので、
M=C+D
となる。ここで、上の2つの式を整理すると、

を得る。
上式は、マネタリー・ベースが追加的に1単位増加すると、マネーストックはそのm倍増加することを意味し、mを貨幣乗数と呼ぶ。0<r<1より、貨幣乗数は1より大きいことがわかる。このように、1単位のマネタリー・ベースの増加に対し、その何倍(>1)もマネーストックが増大するのは、信用創造の仕組みが働くことによる。