• 文字サイズ変更
  • S
  • M
  • L
  • No : 2475
  • 公開日時 : 2026/02/16 00:48
  • 更新日時 : 2026/03/25 02:22
  • 印刷

ポートフォリオ・バランス・モデル

ポートフォリオ・バランス・モデル
カテゴリー : 

回答


ポートフォリオ・バランス・モデル(Portfolio Balance Model)とは、為替相場決定理論におけるアセット・アプローチの1つで、経済主体がリスク回避的であるため、内外資産が不完全代替である状況を想定し、為替リスクを補うリスク・プレミアムの影響を考慮したモデルである。


経済主体がリスク中立的で為替リスクに対し無頓着である場合には、内外資産は完全代替となる。すなわち、自国通貨建て債券と外国通貨建て債券の期待収益率が等しいならば、経済主体はどちらの債券を保有しても無差別であるため、カバーなし金利平価式が成立する。


しかし、実際には、経済主体はリスク回避的であるため、為替リスクのない自国通貨建て債券を保有したいと考えるであろう。このとき、この危険回避的な自国の経済主体が為替リスクを持つ外国通貨建て債券を進んで保有するには、為替リスクを補うだけの収益率の上乗せ分であるリスク・プレミアムが必要となる。


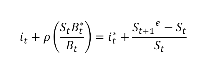
したがって、今年をt期、来年をt+1期とし、t期の自国通貨建て直物為替相場をSt、t+1期の直物為替相場の予想値をSt+1e、t期からt+1期にかけての自国通貨建て金利をit 外国通貨建て金利をit*、リスク・プレミアムをρと表せば、カバーなし金利平価式は、


カバーなし金利平価式


となる。

このとき、ポートフォリオ・バランス・モデルにおいては、リスク・プレミアムρは、自国通貨建て債券に対する外国通貨建て債券の保有比率として定義されるポートフォリオ・バランスの増加関数であると想定する。すなわち、Btを自国に存在する自国通貨建て債券の残高、Bt*を自国に存在する外国通貨建て債券の残高としたとき、リスク・プレミアムは、ポートフォリオ・バランスSt Bt* /Btが上昇するにつれて上昇すると想定する。


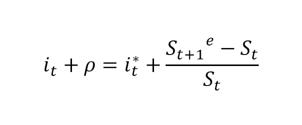
これは、各経済主体には自らが最適と考えるポートフォリオ・バランスがあり、その最適なバランスを越えて、外国通貨建て債券Bt*が増大し、ポートフォリオ・バランスが上昇すると、より大きな為替リスクに直面することとなり、この為替リスクを補うために、より大きなリスク・プレミアムが必要となることを意味する。したがって、上式は、


カバーなし金利平価式変換

 (+)


となる。但し、ρ(・)は括弧内の変数に依存する関数であることを表し、また、(+)は増加関数であることを表す。

 

あわせて閲覧されているワード