キーワードから探す
カテゴリーから探す
硬直価格マネタリー・モデルとは、為替相場決定理論におけるアセット・アプローチの1つで、物価水準が短期的に硬直的であるという想定下での為替相場の動きを説明するモデルである。このモデルを用いると、為替相場のオーバーシューティングを説明できる。
今、自国の物価水準をP、名目マネーストックをM、実質貨幣需要をL、所得をY、金利をiと表すならば、自国の貨幣市場の均衡式は、

と表される。但し、Yの下の「+(プラス)」は増加関数、iの下の「‐(マイナス)」は減少関数であること、また、Pの上の「-(バー)」は、短期的に硬直的であることを示している。
ここで、自国のマネーストックMが増加したとする。このとき、もし、物価水準が伸縮的であるならば、貨幣市場を均衡させるように自国の物価水準Pが瞬時に同率上昇する。しかし、物価水準が硬直的である場合には、貨幣市場を均衡させるために金利iが低下する必要がある。また、マネーストックの増加に伴い、長期的には物価水準が上昇するため、購買力平価を通じて、将来、為替相場が減価すると予想される。
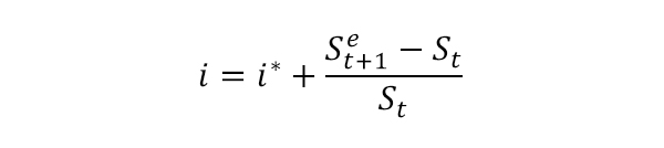
一方、資産市場においては、短期的にもカバーなし金利平価式が成立する。したがって、t期の自国通貨建て直物為替相場をSt 、t+1期の直物為替相場の予想値をSet+1と表すならば、

が成立する。
ここで、自国のマネーストックMの増加により、自国金利iが低下し、将来の為替相場の予想値Set+1が上昇すると、自国通貨建て資産の収益率が、外国通貨建て資産の収益率を下回る。このとき、資産市場を再び均衡させるためには、t期において直物為替相場Stが長期的な均衡相場Set+1を超えて大きく減価し、将来の自国通貨の先高感を生じさせる必要がある。この長期的な均衡水準を超える部分がオーバーシューティングである。
(参考文献)
橋本優子・小川英治・熊本方雄『国際金融論をつかむ』(有斐閣)