キーワードから探す
カテゴリーから探す
CARA効用関数(Constant Absolute Risk Aversion Utility Function, 絶対的リスク回避度一定効用関数)とは、期待効用理論で用いられるフォン=ノイマン・モルゲンシュテルン型効用関数の一種であり、絶対的リスク回避度がいかなる効用水準(消費あるいは所得水準)においても一定になるような効用関数を指す。具体的には、以下のような指数効用関数の単調線型変換として与えられる。
【指数効用関数】
u(x)=-e-ax
ただし、aは一定となる絶対的リスク回避度を表す。
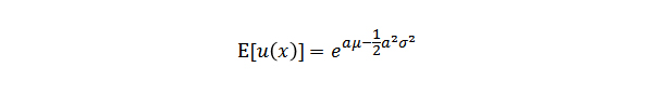
CARA効用関数は、正規分布に従う確率変数と併用して用いられることが多い。例えば、消費あるいは所得水準を表す変数xが、平均がμで標準偏差がσの正規分布に従うとする。このとき、CARA効用関数に従う個人の期待効用は、以下のように表される。

指数関数は単調増加関数であるため、個人の効用最大化は[μ-1/2 aσ2 ]の最大化と等しくなる。したがって、CARA効用関数と正規分布の仮定を組み合わせることで、個人は実質的に平均分散効用に従うことになる。このため、CARA効用関数及びリターンの正規性の仮定は、CAPMの背後に存在する仮定として言及される。
また、CARA効用関数を用いた場合、所得効果は存在しない。すなわち、人々が絶対的リスク回避度一定の効用関数に従う場合、所得及び資産の水準は、人々のリスク資産の需要に影響を与えない。