キーワードから探す
カテゴリーから探す
トレードオフ理論とは、負債の節税効果と財務的困難に伴うコストのトレードオフ(一方を追求すると他方が犠牲になる関係)によって企業の最適資本構成が決まると論じる理論仮説のことをいう。
法人税の影響を考えると、企業は負債で調達するほど節税効果が大きくなり、企業価値を高めることができる。一方で、負債比率が高くなるほど、企業の返済負担は増加し、契約履行が困難になる可能性が高くなるため、財務的困難に伴うコストが増加すると考えられる。
トレードオフ理論では、下記の図にあるように、負債利用による節税効果と財務的困難に伴うコストのトレードオフ関係にもとづき企業の最適資本構成は決定されると考える。
【図】負債の節税効果と財務困難に伴うコストのトレードオフ関係

さらに詳しく
【ポイント】
|

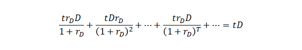
すなわち、負債の節税の現在価値は、1年後の節税額の現在価値+2年後の負債の節税額の現在価値+・・・+T年後の節税額の現在価値+・・・=法人税率×負債額となる。したがって、負債比率が高いほど節税効果は大きくなり企業価値は高くなるので、最適資本構成は負債100%となる。これをMMの修正第1命題と呼ぶ。
財務的困難に伴うコストには、倒産に伴う直接的な費用や倒産せずとも間接的生じる取引条件の悪化などのコストなどがあり、負債の債務残高が多いほど大きくなると考えられる。つまり、財務的困難に伴うコストCは、負債額Dの増加関数となる。すなわち、【式2】となる。
【式2】

以上のことから、2つの効果はトレードオフ関係にあることがわかり、負債を利用する企業の企業価値V_Lは、全額株式によって資金調達する企業価値V_Uに対して、【式3】の関係が成立する。
【式3】

すなわち、負債利用の企業価値=全額株式調達の場合の企業価値+節税効果-財務困難コストとなる。上記図で示されているように、企業は企業価値を最大にするため、負債比率の増大に伴う限界便益とコストの限界費用を一致させるような負債比率の水準が最適となる。